• Comedy Club
  • Уральские Пельмени
  • Однажды в России
  • Вечерний Ургант
  • КВН

Solid Electric Field

Solid electric field
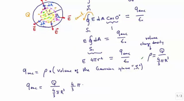
Gauss law problems, insulating sphere, volume charge density, electric field, physics solid electric field.
Канал: The Organic Chemistry Tutor - Категория: Новости Дня - Дата: 08.05.2024

Physics 37 Gauss s Law 6 of 16 Sphere With Uniform Charge

Автор: Michel van Biezen 276 039 просмотров 10 лет назад 6 минут 31 секунда

Ultimate Gauss Law review

Автор: We Are Showboat 309 017 просмотров 4 года назад 28 минут

Volume charge solid non-conducting sphere 6 8

Автор: Dr. Mohamed Ismail 112 371 просмотр 5 лет назад 22 минуты

Electric Potential of a Conducting Sphere

Автор: Jordan Edmunds 23 031 просмотр 2 года назад 8 минут 8 секунд


Фотографии

solid electric field solid electric field solid electric field solid electric field solid electric field solid electric field solid electric field solid electric field solid electric field solid electric field solid electric field solid electric field solid electric field solid electric field solid electric field solid electric field solid electric field solid electric field solid electric field solid electric field

Ответы на вопросы:

What is the electric field of a solid?
The electric field of a solid charged sphere describes a vector field that associates to each point in space the Coulomb force that would be experienced per unit of electric charge, by an infinitesimal test charge at that point.
What is the electric field of a solid conducting sphere?
Gauss' law tells us that the electric field inside the sphere is zero, and the electric field outside the sphere is the same as the field from a point charge with a net charge of Q. This result is true for a solid or hollow sphere. So we can say: The electric field is zero inside a conducting sphere.
What is the electric field inside a solid shell?
Electric Field Inside The Shell Consider the point P placed inside the shell. As shown in the figure above, the Gaussian surface is said to have a radius r. The Gaussian surface contains no charge inside it. Hence, we can conclude that the field inside the spherical shell is always zero.
Is the electric field inside a solid sphere zero?
By Gauss's law, as net charge in the spherical shell is zero so flux is zero which concludes that electric field inside the spherical shell is zero. It is an essential to mention that the shel is a conductor. Otherwise the electric field may be non zero.


Electric Field Of A Disc Of Charge
Rotating Element Electric Field Vector Rev C
Figure 01 Powered By Openai
Electric Field Strength Formula
Канал Truebizcuit 2024
Nanomaterials Electric Field
Openai Embeddings And Vector Databases
Shark Hydrovac Corded 3 In 1 Multi Surface Cleaner Troubleshooting
Shark Hydrovac Corded 3 In 1 Multi Surface Cleaner How To Use
Столица Южной Осетии Кроссворд Ответ
Сделать План По Сказке Бременские Музыканты
Аренда Светодиодных Экранов Казань
Популярное:
Что За Праздник 14 Мая Церковный
В Днепропетровске Произошли Взрывы Во Время Воздушной Тревоги.
США Заключат Договор С Саудовской Аравией После Улучшения Отношений С Израилем.
Кабмин Создал Комиссии Для Борьбы С Нелегальным Трудоустройством.
Сейчас смотрят:
Камеди Баттл 11 Сезон Финал
Barcelona 88 3 Real Madrid
Кубок России По Ушу Саньда
С Кем Масляков Вел Квн Раньше
  • Наедине со всеми 2024
  • Все Рецепты
  • Ремонт Авто
  • Новости дня
  • Про насекомых каналы 2024
  • Детские каналы 2024
  • Игровые каналы 2024
  • Прожекторперисхилтон 2024
  • Воскресный вечер 2024
  • Камеди Вумен 2024
  • Жди меня 2024
  • 60 минут 2024
  • Вечерний Ургант 2024
  • КВН 2024
  • Однажды в России 2024
  • Уральские Пельмени 2024
  • Камеди Клаб 2024

2022 © для связи: moiafania@gmail.com
  •